
Giá vàng trong nước và thế giới
VnEconomy cập nhật giá vàng trong nước & thế giới hôm nay: SJC, 9999, giá vàng USD/oz, biến động giá vàng tăng, giảm - phân tích, dự báo & dữ liệu lịch sử.
Thứ Tư, 21/01/2026
Đỗ Như
20/03/2023, 15:47
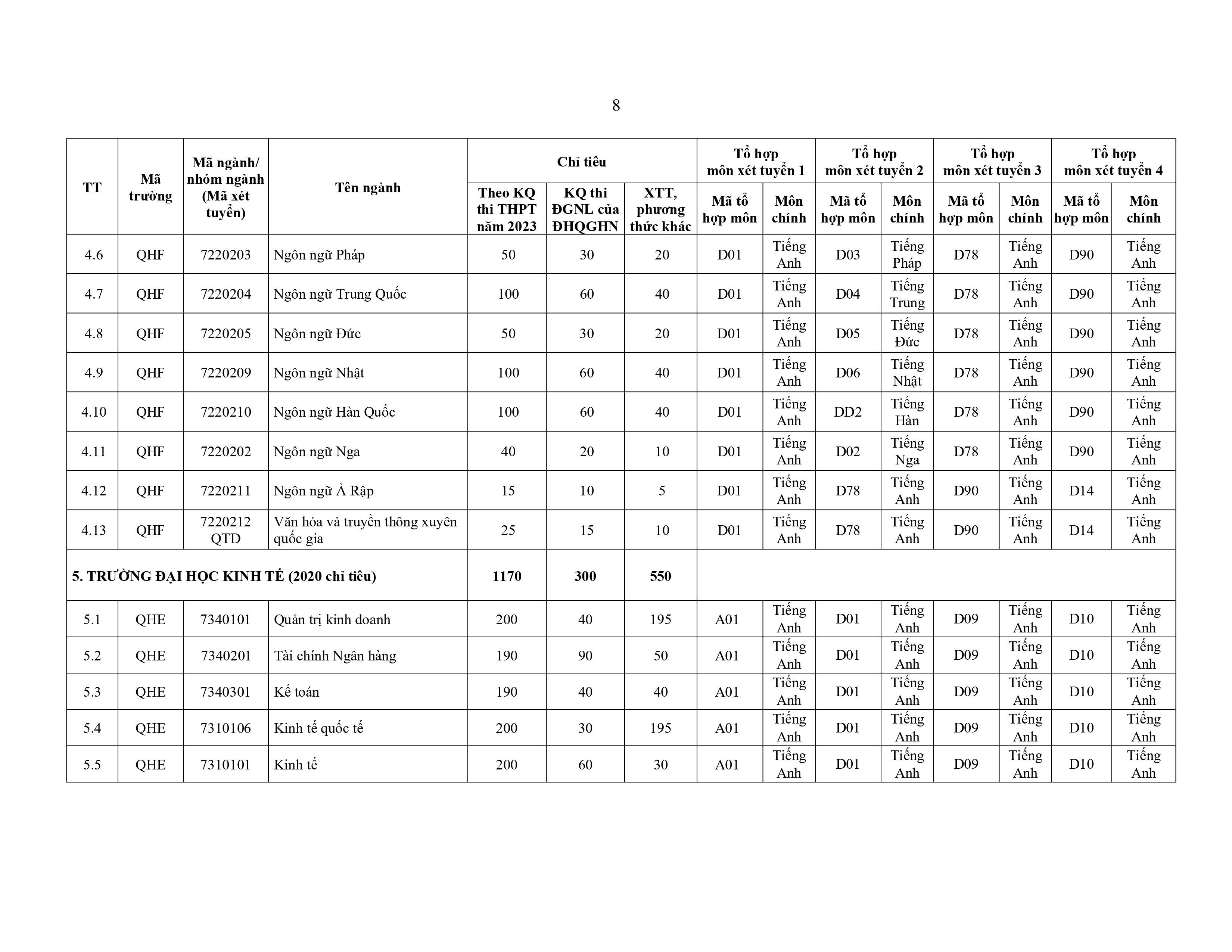
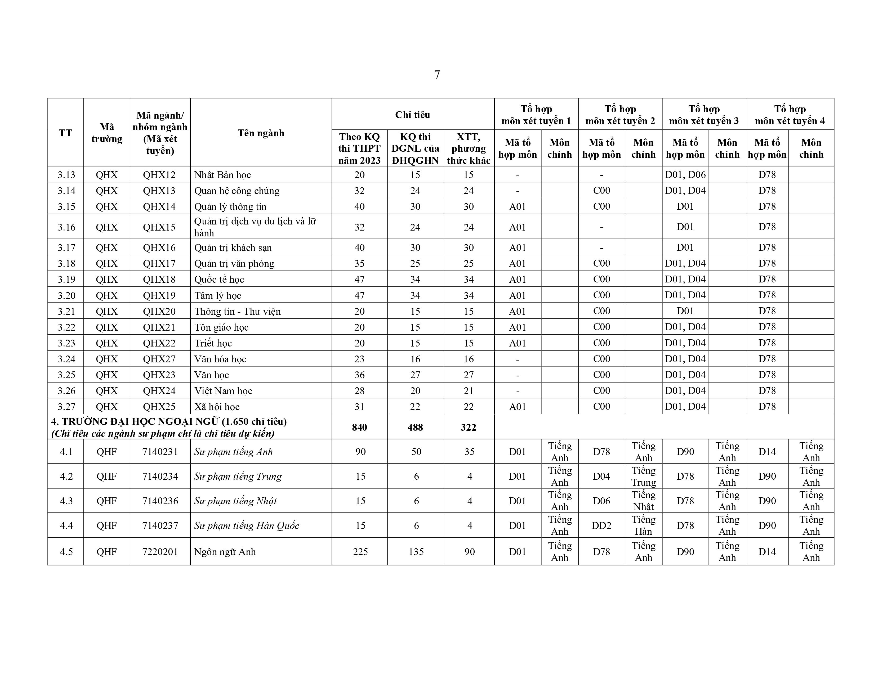
Năm 2023, Đại học Quốc gia Hà Nội dành 14.945 chỉ tiêu tuyển sinh đại học chính quy. Các phương thức tuyển sinh về cơ bản vẫn giữ ổn định như năm 2022. Năm nay, trường tiếp tục mở mới một số chương trình đào tạo đáp ứng nhu cầu nhân lực của thị trường lao động...
Phương thức tuyển sinh bao gồm: thí sinh thuộc đối tượng xét tuyển thẳng, ưu tiên xét tuyển và dự bị đại học, người nước ngoài xét tuyển theo Quy chế tuyển sinh của Bộ Giáo dục và Đào tạo, Quy định đặc thù của Đại học Quốc gia Hà Nội và các quy định liên quan của Đại học Quốc gia Hà Nội; Thí sinh sử dụng kết quả kỳ thi tốt nghiệp THPT năm 2023 đạt ngưỡng đảm bảo chất lượng đầu vào do Đại học Quốc gia Hà Nội quy định; Thí sinh có kết quả thi đánh giá năng lực học sinh THPT do Đại học Quốc gia Hà Nội tổ chức đạt tối thiểu 80/150 điểm trở lên.
Ngoài ra còn có xét tuyển theo 5 phương thức khác.
Một là, thí sinh có kết quả thi đánh giá năng lực của Đại học Quốc gia TPHCM đạt tối thiểu 750/1200 điểm trở lên;
Hai là, thí sinh có chứng chỉ quốc tế của Trung tâm Khảo thí Đại học Cambridge, Anh (Cambridge International Examinations A-Level, UK; sau đây gọi tắt là chứng chỉ A-Level) có kết quả 3 môn thi trong đó bắt buộc có môn Toán hoặc Ngữ văn theo tổ hợp quy định của ngành đào tạo tương ứng đảm bảo mức điểm mỗi môn thi đạt từ 60/100 điểm trở lên (tương ứng điểm C, PUM range ≥ 60);
Ba là, thí sinh có kết quả trong kỳ thi chuẩn hóa SAT (Scholastic Assessment Test, Hoa Kỳ) đạt từ 1100/1600 điểm trở lên. Mã đăng ký của ĐHQGHN với tổ chức thi SAT (The College Board) là 7853-Vietnam National University-Hanoi (thí sinh cần khai báo mã đăng ký trên khi đăng ký thi SAT);
Bốn là, thí sinh có kết quả trong kỳ thi chuẩn hóa ACT (American College Testing) đạt từ 22/36 điểm trở lên;
Năm là, thí sinh có chứng chỉ tiếng Anh IELTS tối thiểu 5.5 điểm hoặc các chứng chỉ tiếng Anh quốc tế tương đương (Phụ lục 1) hoặc các chứng chỉ ngoại ngữ khác (Phụ lục 2) và có tổng điểm 2 môn thi còn lại trong tổ hợp xét tuyển (trong đó bắt buộc có môn Toán hoặc môn Ngữ văn) đạt tối thiểu 14 điểm trong kỳ thi tốt nghiệp THPT của năm tuyển sinh.
Ngoài các phương thức tuyển sinh trên, một số đơn vị có ngành/chương trình đào tạo, lĩnh vực đặc thù có phương thức tuyển sinh riêng (thi năng khiếu hoặc phỏng vấn kết hợp với kết quả học tập cấp THPT/kết quả thi tốt nghiệp THPT/kết quả thi đánh giá năng lực/chứng chỉ quốc tế). Chi tiết được công bố trong Đề án tuyển sinh của các đơn vị.
Các chứng chỉ quốc tế, chứng chỉ tiếng Anh VSTEP, đánh giá năng lực phải còn hạn sử dụng tính đến ngày thí sinh đăng ký xét tuyển (thời hạn sử dụng 02 năm kể từ ngày dự thi).
Đại học Quốc gia Hà Nội định hướng trở thành đại học định hướng nghiên cứu, đa ngành, đa lĩnh vực có tính hội nhập cao, trong đó, một số trường đại học, viện nghiên cứu thành viên thuộc các lĩnh vực khoa học cơ bản, công nghệ cao và kinh tế - xã hội mũi nhọn đạt trình độ tiên tiến châu Á. Hiện nay, trường đang đào tạo trình độ đại học là 49.312 sinh viên, thạc sỹ là 6.600 học viên và tiến sĩ là 980 nghiên cứu sinh.
Hà Nội triển khai chiến dịch kéo dài 90 ngày nhằm rà soát, chuẩn hóa, đồng bộ và nâng cao chất lượng dữ liệu sức khỏe của người dân trên toàn thành phố, đảm bảo dữ liệu sức khỏe của người dân được cập nhật và đồng bộ từ cấp xã đến trung ương…
Thanh long là một trong những cây trồng chủ lực của tỉnh Đồng Tháp. Nhờ loại cây trồng này, nhiều nông dân đã vươn lên làm giàu bền vững. Đồng Tháp đang tập trung nhiều giải pháp từ ứng dụng công nghệ cao vào canh tác, chế biến để nâng cao chất lượng, đồng thời đẩy mạnh chuyển đổi số trong quản lý sản xuất, thương mại…
Từ ngày 21/1, không khí lạnh tăng cường mạnh hơn, khiến nhiệt độ tại khu vực Bắc Bộ và Bắc Trung Bộ giảm sâu, đặc biệt là vùng núi và trung du Bắc Bộ có thể xuống dưới 6 độ C. Trước tình hình này, Bộ Nông nghiệp và Môi trường yêu cầu các tỉnh, thành phố chủ động ứng phó với rét đậm, rét hại, chú trọng các biện pháp bảo đảm sức khỏe cho người dân, hướng dẫn sản xuất nông nghiệp an toàn trong điều kiện giá lạnh...
Ngày 19/1, Phó Thủ tướng Chính phủ Lê Thành Long ký quyết định số 131/QĐ-TTg của Thủ tướng Chính phủ ban hành Kế hoạch triển khai thi hành Nghị quyết số 248/2025/QH15 của Quốc hội về một số cơ chế, chính sách đặc thù, vượt trội để thực hiện đột phá phát triển giáo dục và đào tạo...
Chính phủ đã ban hành Nghị định số 374/2025/NĐ-CP quy định chi tiết một số điều của Luật Việc làm về bảo hiểm thất nghiệp, có hiệu lực từ ngày 1/1/2026. Trong đó, có quy định rõ 13 trường hợp người lao động đang hưởng trợ cấp thất nghiệp bị chấm dứt hưởng chế độ này...
Chứng khoán
Thuế đối ứng của Mỹ có ảnh hướng thế nào đến chứng khoán?
Chính sách thuế quan mới của Mỹ, đặc biệt với mức thuế đối ứng 20% áp dụng từ ngày 7/8/2025 (giảm từ 46% sau đàm phán), có tác động đáng kể đến kinh tế Việt Nam do sự phụ thuộc lớn vào xuất khẩu sang Mỹ (chiếm ~30% kim ngạch xuất khẩu). Dưới đây là phân tích ngắn gọn về các ảnh hưởng chính: