Tận dụng dữ liệu giao dịch chuyển khoản làm căn cứ lập hóa đơn tổng cuối ngày
Mai Nhi
27/03/2026, 19:33
Trước áp lực từ quy định xuất hóa đơn điện tử cho từng giao dịch nhỏ lẻ, nhiều doanh nghiệp và hộ kinh doanh đang kỳ vọng cơ chế linh hoạt hơn. Nhiều ý kiến mong muốn tận dụng dữ liệu giao dịch ngân hàng làm căn cứ lập hoá đơn tổng...
Hội thảo lấy kiến cộng đồng doanh nghiệp nhằm hoàn thiện dự thảo Nghị định quy định chi tiết Luật Quản lý thuế và Nghị định quy định về hóa đơn điện tử và chứng từ điện tử.
Ngày 27/3, Liên đoàn Thương
mại và Công nghiệp Việt Nam (VCCI) phối hợp với Cục Thuế (Bộ Tài chính) tổ chức
Hội thảo lấy kiến cộng đồng doanh nghiệp nhằm hoàn thiện dự thảo Nghị định quy
định chi tiết Luật Quản lý thuế và Nghị định quy định về hóa đơn điện tử và
chứng từ điện tử.
Theo Bộ Tài chính, việc xây dựng hai nghị
định lần này bám sát tinh thần Nghị quyết 68-NQ/TW, tập trung cải thiện môi
trường kinh doanh, giảm thủ tục hành chính và thúc đẩy chuyển đổi số trong lĩnh
vực thuế.
Nếu có thể kết xuất dữ liệu từ hệ thống ngân hàng hoặc phần mềm thanh toán, việc tổng hợp thành hóa đơn cuối ngày không chỉ đơn giản mà còn đảm bảo độ chính xác cao.
(Ông Đặng Ngọc Minh, Phó Cục trưởng Cục Thuế).
Với phạm vi điều chỉnh rộng, Bộ Tài chính đánh giá hai nghị định này có tác động lớn đến môi trường kinh doanh, do đó cần được thiết
kế theo hướng giảm chi phí tuân thủ và tạo thuận lợi tối đa cho doanh nghiệp.
Tại hội thảo, bên cạnh những điểm tích cực, cộng đồng doanh nghiệp cũng đưa ra nhiều góp ý, tập
trung vào việc giảm gánh nặng thủ tục và nâng cao tính khả thi của chính sách. Một
trong những vấn đề nổi bật là quy định về hóa đơn điện tử đối với xuất hóa đơn
điện tử cho từng giao dịch.
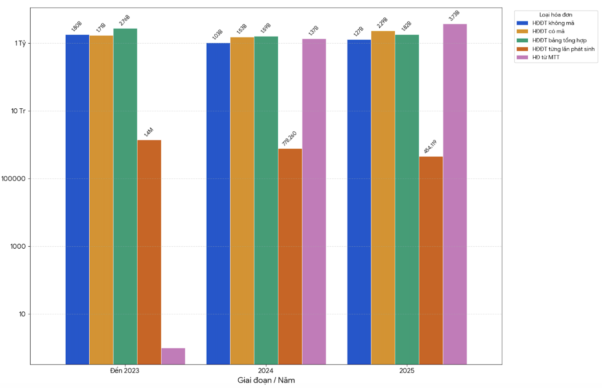
Theo số liệu từ Bộ Tài chính, số lượng hoá đơn điện tử
được phát hành tại Việt Nam tăng mạnh trong những năm qua. Tính tới thời điểm hiện tại, tổng số hoá đơn điện tử đã phát hành đạt hơn 20 tỷ. Điều này cho thấy ngành thuế đã đạt nhiều thành tựu lớn, song từ thực tiễn triển khai, quy định hiện hành vẫn còn điểm nghẽn.
Tổng số lượng hoá đơn điện tử triển khai tính đến năm 2025. Nguồn: Bộ Tài chính
Ông Đậu Anh Tuấn, Phó Tổng Thư ký Liên đoàn Thương mại và Công
nghiệp Việt Nam (VCCI) cho rằng với các lĩnh vực có tần suất giao dịch cao như bán lẻ,
ăn uống, dịch vụ tiêu dùng nhanh hoặc kinh doanh trên sàn thương mại điện tử,
mỗi ngày có thể phát sinh hàng trăm giao dịch giá trị nhỏ. Nếu phải lập hóa đơn
cho từng giao dịch, doanh nghiệp không chỉ tốn thêm thời gian mà còn làm gia tăng chi phí
tuân thủ.
Từ thực tế đó, nhiều ý kiến đề xuất không nên bắt buộc hộ kinh doanh trên
sàn thương mại điện tử phải xuất hóa đơn cho từng lần bán hàng, mà cần có cơ
chế linh hoạt hơn, phù hợp với đặc thù từng loại hình kinh doanh và hành vi
tiêu dùng.
Bà Lê Thị Duyên Hải, Phó Tổng Thư ký Hội Tư vấn Thuế Việt Nam (VTCA)
“Việc đưa ra các ngưỡng khống chế như giá trị từng giao dịch dưới 50.000 đồng hoặc điều kiện về doanh thu (chỉ áp dụng với hộ kinh doanh có doanh thu dưới 3 tỷ đồng) vẫn bộc lộ hạn chế nhất định. Bởi lẽ cách tiếp cận này chưa phản ánh đầy đủ đặc thù đa dạng của các lĩnh vực kinh doanh, từ hàng hóa tiêu dùng nhanh đến dịch vụ có giá trị cao, cũng như sự khác biệt giữa các mô hình kinh doanh.
Việc phải phân loại trường hợp nào được lập hóa đơn tổng, trường hợp nào không, có thể làm gia tăng gánh nặng quản trị, gây lúng túng cho hộ kinh doanh, cá nhân kinh doanh và cả doanh nghiệp”.
Bà Lê Thị Duyên Hải,
Phó Tổng Thư ký Hội Tư vấn Thuế Việt Nam (VTCA) cho biết các quy định liên quan đến hóa
đơn đối với hộ kinh doanh, đặc biệt là việc cho phép lập hóa đơn tổng vào cuối
ngày là tín hiệu tích cực đối với người nộp thuế.
Quy định này giúp giảm bớt thủ
tục khi không phải lập hóa đơn cho từng giao dịch phát sinh. Tuy
nhiên, chính
sách hiện hành vẫn cần tiếp tục được rà soát, hoàn thiện để phù hợp hơn với
thực tiễn, bà Hải đánh giá.
Từ thực tế đó, Phó Tổng Thư ký Hội Tư vấn Thuế Việt Nam đề xuất cần có cách
tiếp cận linh hoạt hơn, đặc biệt đối với các giao dịch bán hàng cho người tiêu
dùng cuối cùng.
Trong bối cảnh thanh toán không dùng tiền mặt ngày càng phổ biến, có thể tận
dụng dữ liệu giao dịch chuyển khoản làm căn cứ lập hóa đơn tổng cuối ngày. Các
hệ thống ngân hàng hiện đã cung cấp đầy đủ thông tin như biến động số dư, nội
dung thanh toán, trong khi nhiều hộ kinh doanh cũng đã đăng ký tài khoản với cơ
quan thuế.
“Những dữ liệu này về cơ bản
tương đương với nội dung của một hóa đơn bán hàng riêng lẻ, đảm bảo tính minh
bạch, chính xác và khả năng kiểm soát. Việc sử dụng dữ liệu thanh toán để lập
hóa đơn không chỉ giúp giảm thủ tục mà còn góp phần thúc đẩy thanh toán không
dùng tiền mặt”, Phó Tổng Thư ký Hội Tư vấn Thuế Việt Nam
(VTCA) nhận định.
Phản hồi về nội dung này, bà
Phạm Thị Minh Hiền, Phó Trưởng Ban Chính sách thuế quốc tế (Cục Thuế), nếu áp dụng đối với hộ kinh doanh, đặc biệt là nhóm nhỏ lẻ thì cách làm này có
thể phát sinh thêm khó khăn. Thay vì chỉ cần tự xác định và ghi nhận các khoản
doanh thu nhỏ lẻ trong ngày, hộ kinh doanh sẽ phải theo dõi, tổng hợp toàn bộ
giao dịch chuyển khoản để lập hóa đơn vào cuối ngày.
Điều này đòi hỏi việc quản lý dữ liệu và đối soát chi tiết hơn, trong khi
không phải hộ kinh doanh nào cũng có đủ điều kiện về công cụ và kỹ năng để thực
hiện. Trong khi đó, với các giao dịch
giá trị nhỏ, việc ghi chép thủ công, đánh dấu và tổng hợp để lập hóa đơn cuối
ngày vẫn là phương thức dễ thực hiện đối với nhiều hộ kinh doanh, bà Hiền đặt vấn đề.
Tuy nhiên, ở góc độ quản lý, ông Đặng Ngọc Minh, Phó Cục trưởng Cục
Thuế cho rằng việc tận dụng dữ liệu giao dịch chuyển khoản là khả thi và phù hợp
với thực tế hiện nay.
Theo ông Minh, nếu có thể kết xuất dữ liệu từ hệ thống ngân hàng hoặc phần
mềm thanh toán, việc tổng hợp thành hóa đơn cuối ngày không chỉ đơn giản mà còn
đảm bảo độ chính xác cao. Hóa đơn tổng trong trường hợp này vẫn có thể chi
tiết theo từng giao dịch, giúp cơ quan quản lý dễ kiểm soát, đồng thời giảm bớt
thủ tục cho người kinh doanh.
Trong
bối cảnh nhiều hộ kinh doanh đã từng bước tiếp cận công nghệ, sử dụng thanh
toán điện tử và các phần mềm quản lý bán hàng, việc nghiên cứu, tiếp thu đề xuất lập hóa đơn tổng dựa trên dữ
liệu chuyển khoản là cần thiết, nhằm vừa tạo thuận lợi cho người nộp thuế, vừa
thúc đẩy quá trình số hóa trong quản lý thuế, Phó Cục trưởng Cục
Thuế nhấn mạnh.
“Với một giao dịch bán lẻ như khách hàng thanh toán tiền ăn qua chuyển khoản hoặc quét mã QR, hệ thống ngân hàng đã ghi nhận đầy đủ thông tin người trả, người nhận và số tiền giao dịch. Những dữ liệu này về bản chất đã tương đương với thông tin trên một hóa đơn”, Phó Cục trưởng Cục Thuế nêu ví dụ
Gộp hóa đơn tổng: Ngưỡng 50.000 đồng đã sát thực tế tiêu dùng?
07:24, 20/03/2026
Hộ kinh doanh trên sàn điện tử doanh thu từ 1 tỷ bắt buộc phải xuất hoá đơn
07:18, 10/03/2026
Bộ Tài chính đề xuất mở lại cơ chế hóa đơn tổng để giảm áp lực hạ tầng công nghệ
Vietcombank tiếp tục khẳng định vị thế trên thị trường ngoại hối
Năm 2025, thị trường tài chính - tiền tệ toàn cầu tiếp tục đối mặt với nhiều biến động khó lường từ xu hướng điều chỉnh chính sách tiền tệ của các nền kinh tế lớn, qua đó tác động đến diễn biến dòng chảy vốn và tỷ giá trên thị trường Việt Nam. Trong bối cảnh đó, Vietcombank một lần nữa khẳng định vị thế dẫn đầu và năng lực vượt trội trong lĩnh vực kinh doanh ngoại hối khi tiếp tục được vinh danh tại sự kiện LSEG Vietnam FX Awards 2026.
Thể chế phải đi trước, mở đường cho mục tiêu tăng trưởng hai con số
Đợt 1 kỳ họp thứ Nhất Quốc hội khóa XVI với 6,5 ngày làm việc đã hoàn thành toàn bộ chương trình đề ra. Đồng thời, Kỳ họp đã xác lập một trục hành động rõ ràng cho cả nhiệm kỳ: thể chế phải đi trước, mở đường cho mục tiêu tăng trưởng kinh tế hai con số.
[Bài 4] Lựa chọn chiến lược 2026-2030: Vị thế của Việt Nam trong trật tự kinh tế toàn cầu mới
Kinh tế thế giới đang bước vào giai đoạn tái cấu trúc sâu rộng, nơi chuỗi giá trị, công nghệ, cạnh tranh địa kinh tế đồng thời định hình lại trật tự phát triển toàn cầu. Trong bối cảnh đó, lợi thế không còn đến từ quy mô nguồn lực, mà từ khả năng lựa chọn chiến lược và thiết kế mô hình tăng trưởng phù hợp...
CUBHCM dẫn đầu cho vay hợp vốn Việt Nam năm 2025
CUBHCM đã ghi dấu năm 2025 với các hoạt động ấn tượng, khi vươn lên vị trí số 1 trong Bảng xếp hạng các đơn vị bảo lãnh phát hành tín dụng tại Việt Nam (tính trên tất cả các đơn vị tiền tệ)(1), với tổng giá trị tín dụng bảo lãnh phát hành đạt 617 triệu USD.
Hết quý 1, có 18 bộ ngành trung ương giải ngân đầu tư công dưới 1%
Tiến độ giải ngân vốn đầu tư công tính đến tuần đầu tháng 4/2026 cải thiện hơn nhưng bức tranh chung vẫn là chậm và thiếu đồng bộ. Hiện vẫn còn 18 bộ, cơ quan trung ương có tỷ lệ giải ngân dưới 1%...
Với phương châm Đoàn kết - Dân chủ - Kỷ cương - Đột phá - Phát triển, Đại hội đại biểu toàn quốc lần thứ XIV của Đảng xác định tư duy, tầm nhìn, những quyết sách chiến lược để chúng ta vững bước tiến mạnh trong kỷ nguyên mới, thực hiện thắng lợi các mục tiêu phát triển đất nước đến năm 2030 khi Đảng ta tròn 100 năm thành lập (1930 - 2030); hiện thực hoá tầm nhìn phát triển đến năm 2045, kỷ niệm 100 năm thành lập nước Cộng hoà xã hội chủ nghĩa Việt Nam (1945 - 2045).
Tổng số đơn vị bầu cử đại biểu Quốc hội khóa XVI trong cả nước là 182. Số đơn vị bầu cử, danh sách các đơn vị bầu cử và số lượng đại biểu Quốc hội được bầu ở mỗi đơn vị bầu cử của các tỉnh, thành phố được ấn định...
VnEconomy cập nhật giá vàng trong nước & thế giới hôm nay: SJC, 9999, giá vàng USD/oz, biến động giá vàng tăng, giảm - phân tích, dự báo & dữ liệu lịch sử.
Interactive là một sản phẩm báo chí mới của VnEconomy vừa được ra mắt bạn đọc từ đầu tháng 3/2023 đã gây ấn tượng mạnh với độc giả bởi sự mới lạ, độc đáo. Đây cũng là sản phẩm độc quyền chỉ có trên VnEconomy.
Trong kỷ nguyên trí tuệ nhân tạo, đặc biệt là generative AI, phát triển mạnh mẽ, Tạp chí Kinh tế Việt Nam/VnEconomy đã tiên phong ứng dụng công nghê để mang đến trải nghiệm thông tin đột phá với chatbot AI Askonomy...
Thuế đối ứng của Mỹ có ảnh hướng thế nào đến chứng khoán?
Chính sách thuế quan mới của Mỹ, đặc biệt với mức thuế đối ứng 20% áp dụng từ ngày 7/8/2025 (giảm từ 46% sau đàm phán),
có tác động đáng kể đến kinh tế Việt Nam do sự phụ thuộc lớn vào xuất khẩu sang Mỹ (chiếm ~30% kim ngạch xuất khẩu).
Dưới đây là phân tích ngắn gọn về các ảnh hưởng chính: