Gộp hóa đơn tổng: Ngưỡng 50.000 đồng đã sát thực tế tiêu dùng?
Phương Linh
20/03/2026, 07:24
Đề xuất cho phép gộp hóa đơn điện tử vào cuối ngày được kỳ vọng giảm áp lực thủ tục cho hộ kinh doanh nhỏ lẻ nhưng đang gây tranh luận về tính hợp lý của "ngưỡng 50.000 đồng". Khi mặt bằng giá thay đổi, việc xác định yếu tố định lượng để vừa đảm bảo quản lý, vừa sát thực tế tiêu dùng không hề đơn giản...
Chỉ áp dụng cho hộ doanh thu dưới 3 tỷ đồng/năm
Một nội dung đáng chú ý trong Dự thảo Nghị định về hóa đơn điện tử và chứng
từ điện tử mới đây của Bộ
Tài chính đang nhận được nhiều sự quan tâm là đề xuất cho
phép lập hóa đơn điện tử tổng vào cuối ngày đối với các giao dịch mà người mua
là cá nhân và không có nhu cầu lấy hóa đơn.
Theo thiết kế chính sách, cơ chế “hóa đơn tổng cuối ngày” không áp dụng đại
trà mà được giới hạn rõ phạm vi. Trong đó, đối tượng hướng tới là hộ, cá nhân kinh doanh có
doanh thu từ 3 tỷ đồng/năm trở xuống, thuộc diện bắt buộc sử dụng hóa đơn điện
tử.
Đi kèm là các điều kiện áp dụng tương đối chặt chẽ: (i) chỉ các giao dịch có giá trị dưới 50.000 đồng và (ii) người
mua là cá nhân và không yêu cầu hóa đơn. Khi đáp ứng các tiêu chí này, người
bán không cần lập hóa đơn ngay tại thời điểm phát sinh mà có thể tổng hợp toàn
bộ giao dịch trong ngày để xuất một hóa đơn điện tử duy nhất vào cuối ngày.
Đồng thời, người bán phải chịu trách nhiệm về tính chính xác của số liệu cũng như việc lập và lưu trữ bảng kê chi tiết để cung cấp khi cơ quan quản lý yêu cầu.
Theo các chuyên gia, để đánh giá đầy đủ tính khả thi, cần đặt quy định này
trong bối cảnh vận hành thực tế của khu vực kinh doanh nhỏ lẻ. Trao đổi với Tạp chí Vneconomy, TS.
Nguyễn Thị Cẩm Giang, Giảng viên Khoa Tài chính - Bộ môn Thuế và Tài chính công, Học
viện Ngân hàng cho biết với
các lĩnh vực có tần suất giao dịch cao nhưng giá trị nhỏ như quán ăn, cửa hàng
tạp hóa hay sạp chợ dân sinh, việc xử lý hàng trăm giao dịch trong thời gian
ngắn là điều phổ biến.
Thực tế cho thấy, trong các khung giờ cao điểm,
mỗi giao dịch chỉ diễn ra trong thời gian rất ngắn. Nếu phải vừa bán hàng vừa
lập hóa đơn cho từng giao dịch, hoạt động kinh doanh dễ bị gián đoạn. Việc phát
hành hóa đơn điện tử riêng lẻ không chỉ tiêu tốn thời gian, chi phí mà còn làm
chậm nhịp giao dịch, yếu tố
đặc trưng của mô hình kinh doanh nhỏ lẻ.
“Từ góc độ đó, cơ chế lập
hóa đơn tổng vào cuối ngày là giải pháp phù hợp với thực tiễn, thậm chí là cần thiết nhằm giúp giảm áp lực thao tác tại thời
điểm bán hàng, đồng thời vẫn đảm bảo yêu cầu quản lý và kiểm soát doanh thu. Xu hướng này cũng tương đồng với kinh nghiệm quốc tế, khi một số quốc gia như Ấn Độ đã áp dụng cơ chế hóa đơn tổng đối với các giao dịch giá trị nhỏ nhằm giảm chi phí tuân thủ”, TS. Nguyễn Thị Cẩm Giang cho biết.
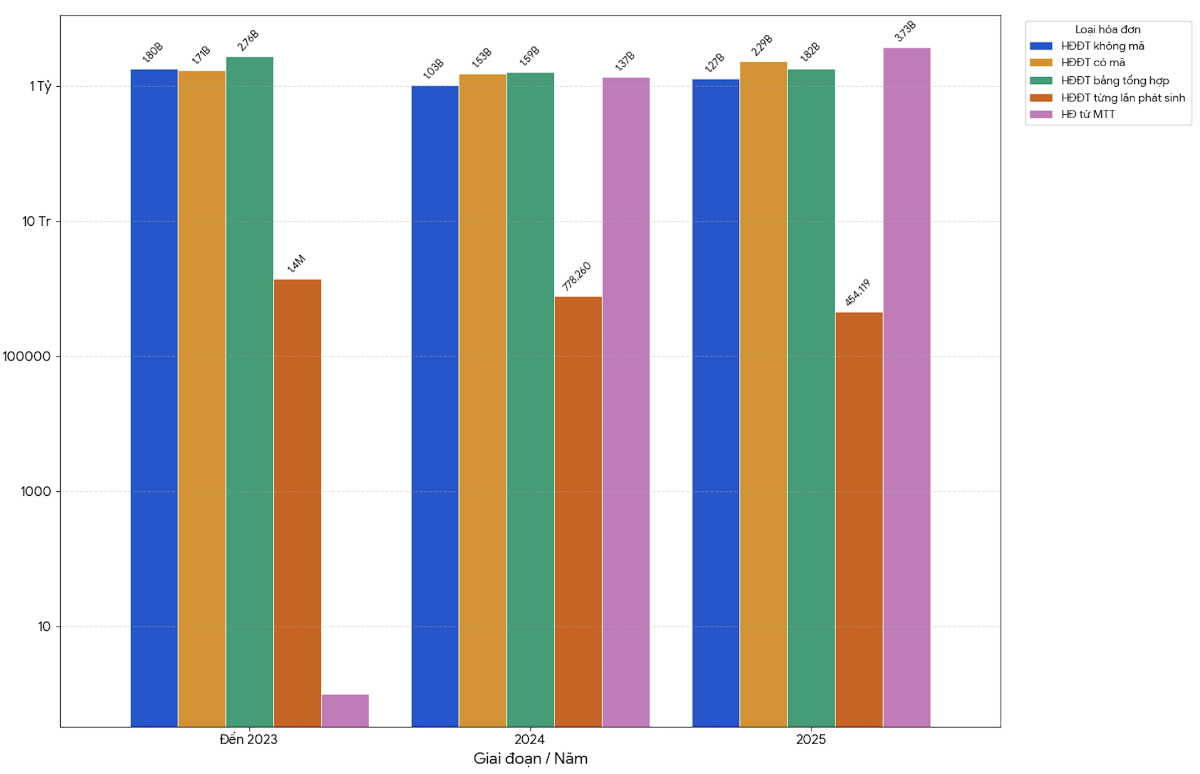
Tổng số lượng hoá đơn điện tử triển khai tính đến năm 2025. Nguồn: Bộ Tài chính
Không nên đóng khung cố định
Dù vậy, câu
hỏi lớn nhất hiện nay nằm ở
mức ngưỡng 50.000 đồng/lần liệu có phù
hợp với thực tế tiêu dùng hiện nay hay không, đặc biệt trong bối cảnh mặt bằng giá liên tục tăng cao?
Thực tế đó
đặt ra băn khoăn về mức độ bám sát thị trường của chính sách, khi việc duy trì
ngưỡng 50.000 đồng có xu hướng thu hẹp phạm vi áp dụng khiến một bộ phận
không nhỏ các giao dịch nhỏ lẻ lại bị đứng ngoài phạm vi điều chỉnh.
Theo TS. Nguyễn Thị Cẩm Giang,việc thiết lập ngưỡng giá trị giao dịch để áp dụng cơ chế gộp
hóa đơn theo ngày thực chất không phải là một quy định mới mà đã từng được áp
dụng trong khuôn khổ pháp lý trước đây.
TS. Nguyễn Thị Cẩm Giang
“Trong giai đoạn trước, khi hóa đơn giấy còn phổ biến, mỗi lần xuất hóa đơn kéo theo chi phí in ấn, phát hành và lưu trữ, tạo ra rào cản đáng kể, đặc biệt với hộ kinh doanh nhỏ. Do đó, ngưỡng giao dịch ở mức 200.000 đồng là giải pháp để hạn chế số lượng hóa đơn phải lập, giảm gánh nặng chi phí và thủ tục cho người nộp thuế. Tuy nhiên, khi hệ thống hóa đơn điện tử được triển khai rộng rãi, những rào cản nói trên gần như không còn là yếu tố chi phối".
Cụ thể, Thông tư 39/2014/TT-BTC từ năm 2014 về hóa đơn bán hàng hóa, cung ứng dịch vụ quy định các giao dịch có giá trị dưới 200.000 đồng nếu người mua không có nhu cầu lấy hóa đơn, người bán được phép lập bảng kê bán lẻ
trong ngày và xuất một hóa đơn tổng vào cuối ngày.
Điểm đáng chú ý trong dự thảo lần này là cách tiếp cận về cơ bản không thay
đổi, song ngưỡng giá trị giao dịch đã được điều chỉnh giảm mạnh xuống còn
50.000 đồng. Tuy nhiên, theo vị
chuyên gia trên, sự chuyển đổi lần này không nên nhìn nhận đơn thuần
là động thái “siết chặt” mà cần đặt trong bối cảnh chuyển đổi phương thức quản
lý thuế sang môi trường số.
Chính sự thay đổi về hạ tầng công nghệ đã tạo điều kiện để cơ quan quản lý
điều chỉnh lại ngưỡng giao dịch theo hướng bao quát rộng hơn, kể cả đối với các
giao dịch có giá trị rất nhỏ. Điều này không chỉ giúp tăng tính minh bạch trong
ghi nhận doanh thu mà còn góp phần hạn chế thất thu thuế trong khu vực kinh
doanh nhỏ lẻ, vốn lâu nay
được xem là khó kiểm soát.
“Ở góc độ tiêu dùng, dù
mặt bằng giá đã có xu hướng gia tăng dưới tác động của lạm phát nhưng không giảm đi tính hợp lý của
ngưỡng giá trị. Bởi lẽ, mức 50.000 đồng vẫn được coi là đại diện cho
nhóm giao dịch “siêu nhỏ”. Đây thường là
những khoản chi tiêu mà người mua, chủ yếu là cá nhân, thường ưu tiên sự nhanh
chóng và tiện lợi trong thanh toán hơn là yêu cầu hóa đơn, chứng từ.
Tuy nhiên, ngưỡng này không nên được “đóng
khung” cố định mà cần có cơ chế rà soát, điều chỉnh trong trường hợp lạm phát
kéo dài hoặc mặt bằng giá có biến động lớn thông
qua các văn bản hướng dẫn luật để đảm bảo tính linh hoạt”, TS. Nguyễn Thị Cẩm Giang phân tích.
Quan
trọng hơn, chính sách không chỉ nên mang
ý nghĩa kỹ thuật trong quản lý hóa đơn mà cần hướng tới mục tiêu rộng hơn là thúc đẩy tuân thủ tự nguyện trong
khu vực kinh doanh nhỏ lẻ, cân
bằng giữa yêu cầu kiểm soát của cơ quan quản lý và nhu cầu phát triển bền vững
của khu vực kinh tế nhỏ lẻ.
Dù thủ tục tại thời điểm bán được “nới lỏng”, song trách nhiệm pháp lý của hộ
kinh doanh không vì thế mà giảm đi. Ngược lại, yêu cầu về ghi chép, lưu trữ và
quản lý dữ liệu giao dịch trở nên chặt chẽ hơn, phản ánh xu hướng chuyển từ
quản lý thủ công sang quản lý dựa trên dữ liệu số.
TS. Nguyễn Thị Cẩm Giang cho biết đối với nhóm hộ
kinh doanh có doanh thu dưới 3 tỷ đồng, dù năng lực quản trị còn hạn chế song cơ quan quản lý
đã thiết kế các cơ chế hỗ trợ tương ứng.
Theo đó, các hộ kinh doanh được tiếp cận
miễn phí với phần mềm kế toán tích hợp hóa đơn điện tử và chữ ký số; đồng thời
được tham gia các chương trình hướng dẫn do cơ quan thuế địa phương triển khai.
Ngoài ra, quy trình ghi
chép cũng được đơn giản hóa, chủ yếu xoay quanh việc lập sổ doanh thu cơ bản,
thay vì yêu cầu hệ thống kế toán phức tạp như các doanh nghiệp. Đồng thời, cơ chế tự khai, tự nộp thuế vẫn được duy
trì, đi kèm với các chính sách hỗ trợ như miễn xử phạt trong giai đoạn chuyển
tiếp nhằm giảm áp lực tuân thủ trong
thời gian đầu triển khai.
Đặt trong bức
tranh tổng thể, khu vực kinh tế hộ hiện có khoảng 5 triệu hộ kinh doanh và hàng
chục triệu lao động, đóng vai trò quan trọng trong tạo việc làm và sinh kế. Tuy
nhiên, đây cũng là khu vực nhạy cảm với thay đổi chính sách, do đó mọi điều
chỉnh cần được cân nhắc kỹ lưỡng để tránh gây xáo trộn hoạt động sản xuất, kinh
doanh.
Trong bối cảnh đó, cơ chế hóa đơn tổng cuối ngày được xem
là một giải pháp cân bằng giữa hai mục tiêu: một mặt là tăng cường minh bạch,
chống thất thu ngân sách; mặt khác là tạo điều kiện cho khu vực kinh tế nhỏ lẻ
tiếp tục phát triển.
"Về cơ bản, quy định mới kế thừa tinh thần của Nghị định 68/2026/NĐ-CP nhưng được điều chỉnh theo hướng linh hoạt hơn. Tuy nhiên, hiệu quả triển khai sẽ phụ thuộc lớn vào việc xác định ngưỡng giá trị giao dịch, yếu tố cần đủ chặt để quản lý, song cũng đủ linh hoạt để bám sát thực tiễn", TS.Nguyễn Thị Cẩm Giang, Học viện Ngân hàng nói.
Hộ kinh doanh sàn thương mại "thở phào" trước đề xuất miễn lập hoá đơn
11:52, 15/03/2026
Dự kiến cho phép xuất hoá đơn tổng đối với dịch vụ vận tải hành khách
21:21, 26/02/2026
Hộ kinh doanh chật vật với hoá đơn đầu vào khi áp dụng thuế kê khai
Minh bạch và bảo vệ: Điều kiện tiên quyết để bảo hiểm liên kết đầu tư phát huy hiệu quả
Bảo hiểm liên kết đầu tư ngày càng được quan tâm như một công cụ kết hợp giữa bảo vệ và tích lũy tài sản. Tuy nhiên, các chuyên gia cho rằng để sản phẩm này phát huy hiệu quả, cần hiểu đúng bản chất, kiểm soát rủi ro “misselling” và đặt yếu tố bảo vệ làm nền tảng trong mọi kế hoạch tài chính dài hạn…
CPI Mỹ tăng mạnh theo giá xăng dầu, “cửa” Fed hạ lãi suất có thể đã đóng lại
Chỉ số giá tiêu dùng (CPI) của Mỹ trong tháng 3 tăng mạnh nhất trong gần 4 năm qua, khi cuộc chiến tranh ở Vùng Vịnh đẩy giá xăng dầu tăng cao trên toàn cầu tăng cao và nền kinh tế lớn nhất thế giới không nằm ngoài xu thế này...
Vàng giảm giá sau báo cáo lạm phát Mỹ
Triển vọng lãi suất cao hơn, lâu hơn do lạm phát tăng vẫn đang là yếu tố gây áp lực giảm giá lên thị trường kim loại quý...
Vietcombank giảm lãi suất, chung tay hỗ trợ tăng trưởng kinh tế
Trong bối cảnh nền kinh tế đang đẩy nhanh tốc độ tăng trưởng để hiện thực hóa các mục tiêu phát triển năm 2026 và giai đoạn tiếp theo, Ngân hàng Nhà nước (NHNN) kiên định điều hành chính sách tiền tệ chủ động, linh hoạt, nhằm giữ vững ổn định kinh tế vĩ mô, kiểm soát lạm phát và tạo điều kiện thuận lợi cho hoạt động sản xuất - kinh doanh.
Dịch vụ thanh toán QR "xuyên biên giới" trên ứng dụng VCB Digibank
Ngay sau lễ công bố mở rộng dịch vụ thanh toán QR giữa Việt Nam - Trung Quốc dành cho khách du lịch Trung Quốc tới Việt Nam vào ngày 3/4/2026 vừa qua, Ngân hàng TMCP Ngoại thương Việt Nam (Vietcombank) tiếp tục công bố đã hợp tác cùng Alipay+ ra mắt dịch vụ thanh toán QR xuyên biên giới dành cho khách hàng cá nhân Việt Nam tại hơn 50 quốc gia trên toàn thế giới.
Với phương châm Đoàn kết - Dân chủ - Kỷ cương - Đột phá - Phát triển, Đại hội đại biểu toàn quốc lần thứ XIV của Đảng xác định tư duy, tầm nhìn, những quyết sách chiến lược để chúng ta vững bước tiến mạnh trong kỷ nguyên mới, thực hiện thắng lợi các mục tiêu phát triển đất nước đến năm 2030 khi Đảng ta tròn 100 năm thành lập (1930 - 2030); hiện thực hoá tầm nhìn phát triển đến năm 2045, kỷ niệm 100 năm thành lập nước Cộng hoà xã hội chủ nghĩa Việt Nam (1945 - 2045).
Tổng số đơn vị bầu cử đại biểu Quốc hội khóa XVI trong cả nước là 182. Số đơn vị bầu cử, danh sách các đơn vị bầu cử và số lượng đại biểu Quốc hội được bầu ở mỗi đơn vị bầu cử của các tỉnh, thành phố được ấn định...
VnEconomy cập nhật giá vàng trong nước & thế giới hôm nay: SJC, 9999, giá vàng USD/oz, biến động giá vàng tăng, giảm - phân tích, dự báo & dữ liệu lịch sử.
Interactive là một sản phẩm báo chí mới của VnEconomy vừa được ra mắt bạn đọc từ đầu tháng 3/2023 đã gây ấn tượng mạnh với độc giả bởi sự mới lạ, độc đáo. Đây cũng là sản phẩm độc quyền chỉ có trên VnEconomy.
Trong kỷ nguyên trí tuệ nhân tạo, đặc biệt là generative AI, phát triển mạnh mẽ, Tạp chí Kinh tế Việt Nam/VnEconomy đã tiên phong ứng dụng công nghê để mang đến trải nghiệm thông tin đột phá với chatbot AI Askonomy...
Thuế đối ứng của Mỹ có ảnh hướng thế nào đến chứng khoán?
Chính sách thuế quan mới của Mỹ, đặc biệt với mức thuế đối ứng 20% áp dụng từ ngày 7/8/2025 (giảm từ 46% sau đàm phán),
có tác động đáng kể đến kinh tế Việt Nam do sự phụ thuộc lớn vào xuất khẩu sang Mỹ (chiếm ~30% kim ngạch xuất khẩu).
Dưới đây là phân tích ngắn gọn về các ảnh hưởng chính: