Hà Nội dự kiến đấu giá 27 thửa đất tại xã Tiến Thắng vào ngày 21/3
Hoàng Bách
05/03/2026, 16:00
Công ty Đấu giá Hợp danh số 5 – Quốc gia vừa thông báo đấu giá quyền sử dụng đất đối với 27 thửa đất ở tại điểm YB2, thôn Yên Bài, xã Tiến Thắng, TP. Hà Nội. Phiên đấu giá dự kiến tổ chức vào ngày 21/3/2026, hồ sơ tham gia được tiếp nhận từ 5/3 đến 18/3/2026…
Ảnh minh họa.
Theo thông báo, đơn vị có tài sản
đấu giá là UBND xã Tiến Thắng. Cơ quan này giao Ban Quản lý dự án đầu tư – hạ tầng
xã Tiến Thắng tổ chức thực hiện việc đấu giá quyền sử dụng đất; Công ty Đấu giá
Hợp danh số 5 – Quốc gia là đơn vị trực tiếp tổ chức cuộc đấu giá.
Khu đất đưa ra đấu giá gồm 27 thửa
với tổng diện tích 2.885,8 m2. Diện tích mỗi thửa dao động từ 90m2 đến 154,5m2.
Giá khởi điểm được xác định là 7,17 triệu đồng/m2. Các thửa đất có mục đích sử
dụng là đất ở, thời hạn sử dụng lâu dài. Nhà nước thực hiện giao đất có thu tiền
sử dụng đất theo quy định.
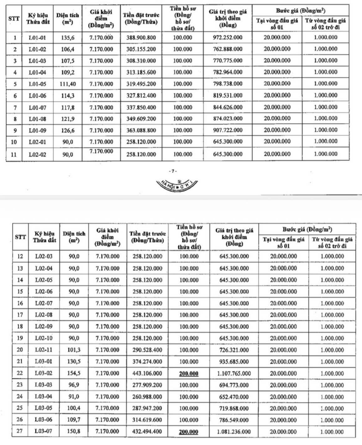
Công ty Đấu giá Hợp danh số 5 - Quốc gia thông tin chi tiết diện tích, giá khởi điểm, tiền đặt trước, bước giá của các thửa đất.
Cuộc đấu giá tổ chức theo hình thức
bỏ phiếu trực tiếp nhiều vòng tại phiên đấu giá, tối đa 2 vòng, phương thức trả
giá lên. Bước giá áp dụng cho vòng đấu giá số 1 là 20.000.000 đồng/bước giá/m2;
vòng số 2 là 1.000.000 đồng/bước giá/m2. Trong trường hợp tại vòng đấu giá thứ
2 có từ hai người trở lên trả mức giá hợp lệ cao nhất bằng nhau và có ít nhất một
người có nhu cầu tiếp tục trả giá, cuộc đấu giá sẽ tiếp tục tổ chức theo quy định.
Thời gian bắt đầu tiếp nhận hồ sơ
tham gia đấu giá từ 8h ngày 5/3/2026 đến hết ngày 18/3/2026. Người đăng ký tham
gia đấu giá có thể đăng ký đấu giá nhiều thửa đất, với điều kiện phải mua hồ sơ
tương ứng số lượng thửa đất đăng ký. Khoản tiền đặt trước là 20% giá trị thửa đất
đấu giá theo giá khởi điểm đã được phê duyệt.
Dự kiến, phiên đấu giá diễn ra
vào 8h30 ngày 21/3/2026 tại Hội trường UBND xã Tiến Thắng, địa chỉ thôn Văn
Lôi, xã Tiến Thắng (Hội trường UBND xã Tam Đồng cũ).
Người tham gia đấu giá yêu cầu có
mặt trước ít nhất 60 phút để hoàn tất thủ tục vào phòng đấu giá. Trường hợp
tham gia thông qua hình thức ủy quyền, người được ủy quyền cần xuất trình văn bản
hoặc giấy ủy quyền hợp lệ, được công chứng theo quy định pháp luật, trong đó, nêu rõ nội dung và phạm vi ủy quyền.
Ngoài ra, trong cùng một phiên đấu giá, việc
tổ chức đấu giá được thực hiện theo từng thửa đất. Mỗi cá nhân chỉ đại diện cho
một đối tượng tham gia đấu giá. Nếu đã là người tham gia đấu giá đối với một thửa
đất tại phiên đấu giá thì không được nhận ủy quyền của đối tượng khác để cùng
tham gia đấu giá đối với chính thửa đất đó.
Đà Nẵng triển khai đấu giá hơn 12.200 m2 đất ở hầu hết các vị trí trung tâm thành phố
19:56, 07/02/2026
Quy định về mức đặt cọc đấu giá đất áp dụng từ năm 2026
11:14, 07/01/2026
Đồng Nai dự kiến đấu giá 72 khu đất trong năm 2026
Hà Nội giám sát tiến độ phát triển nhà ở xã hội, nhà ở tái định cư
Trong tháng 5/2026, Ban Đô thị HĐND Thành phố Hà Nội sẽ giám sát tại các sở và một số xã, phường có dự án đầu tư nhà ở xã hội, nhà ở tái định cư phục vụ công tác giải phóng mặt bằng; chủ đầu tư một số dự án nhà ở xã hội, nhà ở tái định cư trên địa bàn thành phố…
Hai thủ tục hành chính mới trong lĩnh vực nhà ở thuộc phạm vi quản lý của Bộ Xây dựng
Bộ Xây dựng vừa công bố hai thủ tục hành chính mới ban hành trong lĩnh vực nhà ở thuộc phạm vi chức năng quản lý nhà nước của Bộ Xây dựng. Đó là thủ tục bán, cho thuê mua, cho thuê nhà ở cho lực lượng vũ trang nhân dân được đầu tư xây dựng không bằng vốn đầu tư công; thủ tục bán, cho thuê mua, cho thuê nhà ở xã hội được đầu tư xây dựng theo dự án và không sử dụng vốn đầu tư công, nguồn tài chính công đoàn…
Hải Phòng đẩy mạnh phát triển nhà ở xã hội
Các cơ quan, đơn vị trên địa bàn Thành phố Hải Phòng được yêu cầu chủ động rà soát, tăng cường kiểm tra, đôn đốc, kịp thời tháo gỡ khó khăn cho chủ đầu tư; đồng thời ưu tiên giải quyết thủ tục hành chính theo cơ chế “luồng xanh”, “luồng ưu tiên” nhằm đẩy nhanh tiến độ triển khai các dự án nhà ở xã hội...
Đà Nẵng tăng cường quản lý nhà nước về tài nguyên, khoáng sản
Thành phố Đà Nẵng yêu cầu triển khai nhiều giải pháp, nhiệm vụ nhằm tăng cường hiệu lực, hiệu quả quản lý Nhà nước về tài nguyên, khoáng sản trên địa bàn. Trong đó sẽ siết chặt công tác quản lý, khai thác và sử dụng tài nguyên; tăng cường kiểm tra, xử lý nghiêm các vi phạm liên quan đến khoáng sản…
TP. Hồ Chí Minh: Tháo gỡ vướng mắc, xử lý 838 dự án và khu đất tồn đọng
TP. Hồ Chí Minh đã đạt được một cột mốc quan trọng trong việc giải quyết các dự án tồn đọng, với 838 dự án và khu đất đã được tháo gỡ vướng mắc. Đây là một phần của Kế hoạch 34, một sáng kiến nhằm xử lý các vấn đề tồn đọng trong phát triển đô thị…
Với phương châm Đoàn kết - Dân chủ - Kỷ cương - Đột phá - Phát triển, Đại hội đại biểu toàn quốc lần thứ XIV của Đảng xác định tư duy, tầm nhìn, những quyết sách chiến lược để chúng ta vững bước tiến mạnh trong kỷ nguyên mới, thực hiện thắng lợi các mục tiêu phát triển đất nước đến năm 2030 khi Đảng ta tròn 100 năm thành lập (1930 - 2030); hiện thực hoá tầm nhìn phát triển đến năm 2045, kỷ niệm 100 năm thành lập nước Cộng hoà xã hội chủ nghĩa Việt Nam (1945 - 2045).
Tổng số đơn vị bầu cử đại biểu Quốc hội khóa XVI trong cả nước là 182. Số đơn vị bầu cử, danh sách các đơn vị bầu cử và số lượng đại biểu Quốc hội được bầu ở mỗi đơn vị bầu cử của các tỉnh, thành phố được ấn định...
VnEconomy cập nhật giá vàng trong nước & thế giới hôm nay: SJC, 9999, giá vàng USD/oz, biến động giá vàng tăng, giảm - phân tích, dự báo & dữ liệu lịch sử.
Interactive là một sản phẩm báo chí mới của VnEconomy vừa được ra mắt bạn đọc từ đầu tháng 3/2023 đã gây ấn tượng mạnh với độc giả bởi sự mới lạ, độc đáo. Đây cũng là sản phẩm độc quyền chỉ có trên VnEconomy.
Trong kỷ nguyên trí tuệ nhân tạo, đặc biệt là generative AI, phát triển mạnh mẽ, Tạp chí Kinh tế Việt Nam/VnEconomy đã tiên phong ứng dụng công nghê để mang đến trải nghiệm thông tin đột phá với chatbot AI Askonomy...
Thuế đối ứng của Mỹ có ảnh hướng thế nào đến chứng khoán?
Chính sách thuế quan mới của Mỹ, đặc biệt với mức thuế đối ứng 20% áp dụng từ ngày 7/8/2025 (giảm từ 46% sau đàm phán),
có tác động đáng kể đến kinh tế Việt Nam do sự phụ thuộc lớn vào xuất khẩu sang Mỹ (chiếm ~30% kim ngạch xuất khẩu).
Dưới đây là phân tích ngắn gọn về các ảnh hưởng chính: