
Nâng hạng thị trường chứng khoán Việt Nam
Việt Nam đáp ứng các tiêu chí nâng hạng từ thị trường chứng khoán cận biên lên thị trường mới nổi.
Thứ Hai, 06/10/2025
Ánh Tuyết
26/09/2023, 17:00
Trong thông tư mới hướng dẫn về nhượng quyền thu phí cao tốc do Nhà nước đầu tư đang được Bộ Giao thông vận tải cấp tập lấy ý kiến, doanh nghiệp dự án sẽ phải nộp tối thiểu 30% giá trị nộp ngân sách nhà nước trước thời điểm hợp đồng có hiệu lực...
Bộ Giao thông vận tải hiện đang xây dựng dự thảo Thông tư hướng dẫn một số nội dung dự án đầu tư theo phương thức đối tác công tư (PPP), loại hợp đồng kinh doanh – quản lý đường bộ cao tốc (dự án O&M đường bộ cao tốc) và lấy ý kiến của các đối tượng chịu tác động.
Dự thảo quy định về nội dung báo cáo nghiên cứu tiền khả thi, báo cáo nghiên cứu khả thi dự án; tổng mức đầu tư; doanh thu thu phí; khảo sát, dự báo lưu lượng giao thông; giá trị tối thiểu nộp ngân sách nhà nước; khung lợi nhuận; phương pháp, tiêu chuẩn đánh giá hồ sơ dự thầu; mẫu loại hợp đồng O&M. Dự kiến văn bản sẽ ảnh hưởng đến các doanh nghiệp hoạt động trong lĩnh vực đầu tư quản lý đường bộ cao tốc.
Tại Quyết định số 1454/QĐ-TTg của Thủ tướng Chính phủ phê duyệt Quy hoạch phát triển mạng lưới đường bộ giai đoạn 2021-2030, tầm nhìn đến năm 2050, mạng lưới đường bộ cao tốc được quy hoạch 41 tuyến, tổng chiều dài khoảng 9.014 km đến năm 2050, trong đó, đến năm 2030 phấn đấu xây dựng hoàn thành khoảng 5.000 km đường bộ cao tốc.
Như vậy, nhu cầu vốn đầu tư mới đường bộ cao tốc từ ngân sách nhà nước và nhu cầu kinh phí cho công tác quản lý, vận hành, bảo trì hệ thống đường bộ cao tốc do Nhà nước đầu tư là rất lớn.
Tuy nhiên, theo giới chuyên gia, hiện chưa có khung pháp lý cho quản lý, khai thác các dự án cao tốc do Nhà nước đầu tư. Đây là một "khoảng trống" lớn cần có giải pháp khắc phục sớm để làm căn cứ quản lý hợp đồng và tránh các tranh chấp, thất thoát.
Như vậy, việc nghiên cứu phương án nhượng quyền khai thác đường cao tốc, gắn liền với vận hành, bảo trì từ nguồn vốn tư nhân là vô cùng cần thiết. Trong đó, nhượng quyền khai thác theo phương thức PPP, loại hợp đồng O&M là một trong các hình thức phù hợp, được quy định tại pháp luật PPP.
Mặt khác, Bộ Giao thông vận tải đã ban hành Thông tư số 09/2022/TT-BGTVT về việc hướng dẫn một số nội dung về phương pháp, tiêu chuẩn đánh giá hồ sơ dự thầu lựa chọn nhà đầu tư theo phương thức đối tác công tư và mẫu loại hợp đồng BOT thuộc ngành giao thông vận tải.
Tuy nhiên, thông tư này chỉ hướng dẫn mẫu hợp đồng BOT, các loại hợp đồng khác có thể tham khảo. Thế nhưng, đối chiếu với loại hợp đồng O&M, do tính chất loại hợp đồng này có nhiều điểm khác biệt so với loại hợp đồng BOT do dự án không có cấu phần xây dựng, nhà nước không góp vốn vào dự án mà nhà đầu tư phải nộp giá nhận chuyển nhượng quyền thu phí.
Hiện mô hình hợp O&M đang triển khai tại nhiều quốc gia trên thế giới như Nhật Bản, Trung Quốc, Mỹ... Theo đó, Nhà nước và nhà thầu tư nhân ký kết hợp đồng trong 5, 7 năm hoặc 30 năm tùy theo mô hình. Nhà đầu tư có thể trả tiền một phần cho nhà nước, số còn lại được trả góp. Ngoài ra, công ty được nhượng quyền cũng có thể gia tăng lợi nhuận từ kinh doanh trạm dừng nghỉ, tổ chức sự kiện để thu hút phương tiện, giảm chi phí quản lý, bảo trì...
Tuy nhiên, để hợp đồng O&M khả thi, nhiều ý kiến cho rằng thời gian thực hiện hợp đồng cần hợp lý nhằm đảm bảo nguồn lực tài chính của nhà đầu tư, đặc biệt, Nhà nước cần minh bạch trong lựa chọn doanh nghiệp dự án.
Ngoài ra, để triển khai hợp đồng O&M trong công tác quản lý, vận hành đường cao tốc thuận lợi, việc cần có các quy định, hướng dẫn cần thiết, đặc biệt, cần chi tiết về những điều khoản trong hợp đồng O&M để cả phía Nhà nước và nhà đầu tư tư nhân có thể thương thảo và tổ chức vận hành những dự án cao tốc hiệu quả.
Thông tư được Bộ Giao thông vận tải lấy ý kiến gồm 4 chương, 19 điều và 01 phụ lục. Nội dung cơ bản của thông tư có hai điểm cần chú ý.
Một là, thông tư hướng dẫn một số nội dung trong báo cáo nghiên cứu tiền khả thi, báo cáo nghiên cứu khả thi dự án bao gồm: sơ bộ tổng mức đầu tư và tổng mức đầu tư dự án; doanh thu thu phí; giá trị tối thiểu nộp ngân sách nhà nước; khung lợi nhuận trên vốn chủ sở hữu của nhà đầu tư. Các nội dung được xây dựng trên cơ sở quy định tại Luật PPP và các Nghị định hướng dẫn.
Cụ thể, tại Điều 5 dự thảo nêu rõ đơn vị chuẩn bị dự án xác định doanh thu dự kiến của dự án qua từng năm bao gồm: doanh thu ở mức căn bản, doanh thu ở mức tối đa và doanh thu ở mức tối thiểu.
Doanh thu thu phí dự kiến căn cứ vào (i) mức thu, đối tượng thu giá, phí theo quy định pháp luật PPP, pháp luật về giá, phí; dự kiến lộ trình tăng giá, phí; (ii) kết quả điều tra, khảo sát lưu lượng giao thông theo quy định tại Điều 6 Thông tư này; kết quả dự báo lưu lượng giao thông theo quy định tại Điều 7 Thông tư này. Đơn vị chuẩn bị dự án thực hiện và chịu trách nhiệm về tính chính xác của kết quả điều tra, khảo sát, dự báo.
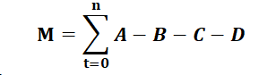
Đặc biệt, thông tư cũng nêu rõ đơn vị chuẩn bị dự án cần xác định giá trị tối thiểu nộp ngân sách nhà nước tại phương án tài chính trong báo cáo nghiên cứu tiền khả thi, báo cáo nghiên cứu khả thi trên cơ sở doanh thu thu phí dự kiến theo quy định tại Điều 5 Thông tư này (sau đây ký hiệu là A) sau khi trừ đi 3 khoản dưới đây.
Đó là chi phí kinh doanh, quản lý dự án, được tính bằng tổng mức đầu tư theo quy định tại khoản 2 Điều 4 Thông tư này (ký hiệu là B); chi phí huy động vốn của nhà đầu tư, doanh nghiệp dự án theo quy định tại điểm c, điểm d khoản 2 Điều 4 Nghị định số 28/2021/NĐ-CP (ký hiệu là C) và lợi nhuận trên vốn chủ sở hữu, được xác định trên cơ sở mức lợi nhuận theo quy định tại Điều 9 Thông tư này (ký hiệu là D);
Theo đó, giá trị tối thiểu nộp ngân sách nhà nước được tính toán theo công thức:
Trong đó, n là số năm trong vòng đời dự án, t là năm tính toán các giá trị A, B, C, D.
Lợi nhuận trên vốn chủ sở hữu của nhà đầu tư nêu trên sẽ được quy định trong một khung, đảm bảo đồng thời các điều kiện: (i) mức lợi nhuận trên vốn chủ sở hữu của nhà đầu tư tối thiểu không thấp hơn mức lãi suất huy động vốn đầu tư; đồng thời, (ii), mức lợi nhuận trên vốn chủ sở hữu của nhà đầu tư tối đa không vượt quá mức lãi suất vay huy động vốn đầu tư cộng tỷ lệ lạm phát.
Hai là, hướng dẫn mẫu loại hợp đồng O&M đường bộ cao tốc.
Hợp đồng O&M đường bộ cao tốc bao gồm: văn bản thỏa thuận của các bên về hợp đồng, điều kiện chung của hợp đồng, điều kiện cụ thể của hợp đồng và phụ lục hợp đồng (nếu cần thiết)
Dự thảo hợp đồng được soạn thảo theo đề mục hướng dẫn tại Phụ lục VI: Hướng dẫn lập hợp đồng mẫu dự án PPP (ban hành kèm theo Nghị định số 35/2021/NĐ-CP). Các đề mục này tương tự đề mục tại Thông tư số 09/2022/TT-BGTVT về mẫu hợp đồng BOT.
Tại một số nội dung, để phù hợp với mẫu loại hợp đồng O&M, mẫu loại hợp đồng O&M có một số điểm khác biệt so với mẫu loại hợp đồng BOT.
Thông tư cũng nêu rõ, trong thời hạn 12 tháng kể từ ngày ký kết hợp đồng, nhà đầu tư, doanh nghiệp dự án PPP phải hoàn thành nộp tiền vào ngân sách nhà nước. Doanh nghiệp dự án nộp tối thiểu 30% giá trị nộp ngân sách nhà nước trước thời điểm hợp đồng có hiệu lực. Hợp đồng dự án cũng quy định mức tính tiền chậm nộp và thời gian tính tiền chậm nộp.
Vốn đầu tư trực tiếp nước ngoài (FDI) thực hiện tiếp tục có tháng kỷ lục khi chạm mốc cao nhất trong vòng 5 năm qua…
Trong chuyến thăm và làm việc tại Ninh Bình, Đại sứ đặc mệnh toàn quyền Nhật Bản tại Việt Nam Ito Naoki khẳng định sẽ hỗ trợ, kết nối các doanh nghiệp Nhật Bản đầu tư vào lĩnh vực công nghệ cao, công nghệ sạch và thân thiện môi trường, phù hợp với định hướng phát triển bền vững của Ninh Bình trong giai đoạn mới...
Với quyết tâm cao để huy động và khơi thông mọi nguồn lực cho phát triển, bức tranh kinh tế – xã hội quý 3 và 9 tháng năm 2025 của Việt Nam đã đạt được kết quả rất tích cực khi GDP quý 3 tăng 8,23%; tổng kim ngạch xuất, nhập khẩu hàng hóa trong 9 tháng đạt 680,66 tỷ USD (tăng 17,3% so với cùng kỳ); tổng vốn FDI đăng ký tại Việt Nam trong 9 tháng đạt hơn 28,54 tỷ USD (tăng 15,2%)....
Quy hoạch tổng thể Cảng hàng không quốc tế Vinh đến năm 2030, tầm nhìn 2050 xác định sân bay này là hạ tầng chiến lược, không chỉ phục vụ vận tải hành khách mà còn là trung tâm logistics hiện đại, góp phần đưa Nghệ An trở thành cực tăng trưởng mới của khu vực.
Trong khuôn khổ chương trình xúc tiến đầu tư tại Amsterdam (Hà Lan), lãnh đạo thành phố Đà Nẵng bày tỏ mong muốn tiếp tục nhận được sự chia sẻ kinh nghiệm từ các đối tác Hà Lan, đồng thời thu hút thêm nhiều nhà đầu tư tham gia hợp tác trong các lĩnh vực hàng không, đô thị và cảng biển trong thời gian tới....
Thuế đối ứng của Mỹ có ảnh hướng thế nào đến chứng khoán?
Chính sách thuế quan mới của Mỹ, đặc biệt với mức thuế đối ứng 20% áp dụng từ ngày 7/8/2025 (giảm từ 46% sau đàm phán), có tác động đáng kể đến kinh tế Việt Nam do sự phụ thuộc lớn vào xuất khẩu sang Mỹ (chiếm ~30% kim ngạch xuất khẩu). Dưới đây là phân tích ngắn gọn về các ảnh hưởng chính: